忍者ブログ
日常の出来事などの記述です。 「雀記会」(麻雀成績)は「1位」-「2位」-「3位」-「4位」、収支、場代、の順。着順の推移でないことに注意。収支に場代は含まず。例えば「収支+2500、場代3000」だったら、麻雀自体の収支は+2500だが場代に3000円かかってるので実質の収支はマイナス500円。
[1] [2] [3] [4] [5] [6] [7] [8] [9] [10]
×

[PR]上記の広告は3ヶ月以上新規記事投稿のないブログに表示されています。新しい記事を書く事で広告が消えます。



ライスタ○×、答えは「×」

麻雀でリーチをする際に出すのは「一般的には」1000点棒である。

「一般的」ではないものに、町田「風の子」の「スーパーリーチ棒」があげられる。2000点の価値で各人1本しかないが、使うと1ハン増しになる。

あとガリサンマの場合は100点棒を出す。
PR
数年前に自動で配牌が出される卓が雀荘に導入されて以来、今ではどこでも見るようになった。その5年前は、全員の点数が中央や手元に同時に提示される台に移り変わったし、その5年前は点数表示自体が出る台に移り変わった。つまり台は5年サイクルで移り変わっていることになる。

が、その台の変更も無料でできるわけではない。雀荘には相応の金銭低負担がかかる。金銭的な余裕がなく、台の入れ替えを行えないため客が離れ、閉めざるを得なくなる店の存在も見てきた。ユーザーにとっては高度な機能を持つ卓でプレーするに越したことがないが、それはやはりゲーム代の増加などにつながると思う。農業における「機械化貧乏」に似ている。

そんな中、自分の点数しか出ない卓を使っているじゅうじや、そもそも点数表示のない卓を使っている近所の店はある意味凄みがある。
<なんとか書いた記事のデータは復旧できた>


石和にラウンドワンができたとのことで見に行った。しかしQMA、AnAnともに音ゲーの近くにあり、うるさすぎてプレイする気は失せていった。ということで予定してなかったが雀荘へ。

前回は早上がりの客が多くやりにくかったが、今回も違う客なのに早く安い展開だった。なので仕方なく自分も役牌ポンして1000点みたいな手を多用した。それが功を奏してまず小場を制することができて、で面前勝負の局も制することが出来た。1-2-1-0の+4000円(場代1600円)。額は大して勝ててないが、結構面白かった。(ただ早上がりがこの店のトレンドになっていったら面前派の自分には困る、、、。面前祝儀(それも200円)なのに、鳴いて早上がりをする打ち方が流行るのはなんでだ、、、?)

この日、は4半荘なのにハイテイホウテイが計3回も出た。まず1つ。山が残り2枚で順番は上家。自分はベタオリだったのだが、上家が突如カンをした。リンシャンがハイテイになり、振り込みの危険がなくなったのでラッキーと思っていたら、リンシャンでツモられた。厳密にはハイテイではないが、マンガンを親かぶった。

2つ目。2位以下に2万点以上離したトップ目のオーラス。序盤に浮き牌の7mを切ったら対面(親)にポンされた。鳴かれてから気づいたが、この7mはドラだった、、、。その後自分に赤1枚入りのチートイツテンパイ。場に生牌の発待ちだが、他家にプレッシャーを与える意味でリーチを打った。その後7mが加カンされ、ハイテイが自分に回ってくる、そしてツモ。裏が乗って倍3になった。結果的にはドラ切りが正解だった。たまたまだけど。

3つ目。自分は369pでリーチ。追っかけで鉄人J氏からもリーチがかかった。3面待ちなので楽勝と思ったが、一向に和了れない。J氏も和了れず、ハイテイまでもつれた。ハイテイは自分だったが、場に生牌の7m。「なんだこれ?」と思ったら、案の定J氏の和了牌だった。(それも間7m待ち)。驚きつつも誇らしそうな表情のJ氏の顔はしばらく忘れられなさそうだ。

そのJ氏。この日は自分の下家だった。上家だと非常にやりにくいが、下家だと逆に時間に余裕が生まれやりやすかった。「麻雀は席」という理論は今まで一切信じてなかったが、なんか少し分かった気がする。


ちょんまげにて。稲葉と一緒に行って、うな肝の串焼きなどを頼んだ。

途中稲葉に電話が掛かってきた。聞かれたくない話なのか、稲葉は店の外に出た。

その間、稲葉の取り分である串焼きを少し食べておいた。帰ってきたものの、稲葉に気づかれることはなかった。

「うな肝の串焼き」などという貴重品を放置していなくなるなんて、その神経が俺にはわからない。
ブログ記事を書き溜めておいたPCが起動しなくなった、、、。HDが故障したようだ、、、。

せっかくいくつか書いたのにな、、、。同じネタを2度書くのは苦痛なのでそれらはお蔵入りだな、、、。

麻雀成績だけ。夏休み中にいちごで2回打ち、1回が5000円刺さり、もう1回が15000円刺さり。後者は面前大三元を打った。あんなの防ぎようがないから気にはしてないけど、それによって2位に落ちたプレーヤーが「そんなミエミエの大三元打つなよ!」みたいな表情をしていたのは鮮明に覚えている。この店は役満上がると張り紙を出すのだが、ただの「大三元」でなく「面前面混大三元」とか書かれるんだろうな、、、。萎える、、、。
麻雀とナポレオンの違いについて。

麻雀は34種×4セット=136枚ある。それに対しナポレオンは13×4+1=53枚である。この枚数の違いだけ見るとマージャンの方がナポレオンよりも複雑だと言える。

だからといって麻雀の方が奥が深いかというと一概には言えない。というのも麻雀は枚数の多さによる複雑さゆえに、読みきれないからである。例えば誰かの手牌につて。捨て牌などによってある程度は読める。けれど完全に読みきれる状況はめったに無い。それに対しナポレオンは麻雀ほど複雑ではないので相手の手を完全に読みきれるという状況が生まれる。

麻雀の場合読みが出来るにこしたことはないが、せずに勝ててしまう局面もある。(手なり先制リーチ一発ツモなど。)がナポレオンは相手が何を出したか覚えておき、ある程度把握しておかないと絶対に勝てない。

そこから思うに麻雀は「複雑すぎる」のではないかと思う。それゆえ読みが必要ない局面が出てくる。「読み」や「駆け引き」を生じさせるためには複雑すぎてはならないということになる。「読み」や「駆け引き」を楽しみたいのなら麻雀ではなくナポレオンの方が適している。

もちろんだからといって即座にナポレオンの方がゲームとして優れているとは言えない。どちらにも面白さはある。
ニトダチ(ニート友達)には評判の良い嶋田紳介。だけど、アイツどうなのの?人を馬鹿にしてるだけじゃん。

特に顕著なのがヘキサゴン。自分は答え知ってるからそりゃ見下せるよな。イジメに近いし、見ていて不愉快。法律番組も見下してるだけで気分悪い。

たまたま売れて大物ぶってるけど、売れなかったらただのグチオヤジ。ホント醜い。
仕事が夏休みに入り、平日午後はだいぶヒマが取れるようになった。この日は仕事が午前中で終わり16時頃甲府へ。いちごは18時からなので2時間ばかりクイズをしてから店に向かった。ちなみにクイズのほうは最近AnAnをしているが、以前は歯がたたなかったSリーグで2回も優勝するなど絶好調。このままクイズをしててもよかったが、せっかく甲府に来たので麻雀もした。

まずはメン3。あっさりとラスを引かされた後、今度は丸卓になった。3人とも自分よりも来店頻度が高い客である。そのうち一番若い客(自分と同じくらい)がとにかく早い。チーポンチーポンして、捨て牌2段目にはもう終わっている。そして他2人もそれに呼応して速攻になっていった。打点は低く小場の展開だったが、この展開だと面前リーチ派の自分にはやりづらい。手やドラは入るものの、成就しない局が多く、1-1-2-2のマイナス7000円(場代2400円)とだいぶ負けた。

配牌「発発中白123m557p139s」という手が来た。基本役牌は率先して捨てるようにしているが、三元牌が3種4牌あるときは一応温存する。すると中2枚、白1枚をあっさり重ね、5順で面前の「発発白白中中中123m557p」という手になった。発でも白でも捨てられれば大三元テンパイになるし、自分で持ってくれば面前大三元である。しかし例によって若い客の早上がり。く~、、、。

「223346788s56m中白」。56mは優良ターツだが、ソーズの一色手も行けそうな感じである。つか7sを持っているものの23468sで染まれば緑一色である。この後4s8sをツモりもう緑一色一直線。4sをポンして3sを重ねて「(4sポン)2233367888s」となった。ここで上家から8sが捨てられつい腰を使ってしまった、、、。ここから良い流れがパタっと止まる、、、。発を持ってきて7sを切るもののすぐに発はカラに。仮に2sをポン出来ても6s単騎はフリテン、、、。結局メンバーが間6sリーチをツモることで終了した、、、。あの腰はいただけなかった、、、。

2半荘目のオーラス、2着目だったのだが、3着目がマンガンをあがり2位浮上。かわりに俺が3位に落とされた。それだけでもイラっとくるのにその人物が「なんとか2着になれたよ」と発言した。「はぁ?その裏で3着に落ちた人間もいるんだよ!」と思った、(言いはしなかったけど。)3半荘目のオーラス、同じように俺2着、その人物3着。点差は3700点だが、俺は親だった。俺がリーチを打つものの、トップ目もリーチ。一発ツモの倍満で親かぶりによってまたもまくられた。また腹が立つのかなと思ったが、ホクホクしてるその人物の顔を見たらなんか和んだ。「いや~、オーラスで2着になるの上手いですね!」なんて言ったところ、ギスギス気味だった場は和んでいった。やっぱ麻雀は娯楽なんだから、楽しくやりたいものである。


AnAnの予選は☆の数の多寡によって優劣が決まる。予選ラウンドは与えられるだけだが、決勝ラウンドは参加者同士の☆の奪い合いである。

これってカイジの限定ジャンケンに似てる。エスポワール号に乗っているようでなんとも緊張する。


相変わらず仕事が絶不調。そんな中、早く帰れる日があったのでいちごに出向いた。前回は家を18時半に出て20時に到着。しかしここで1時間弱待ったため、打ち始めたのが21時前。翌日仕事があったのに23時半まで打ってしまい、家に帰ったら翌1時。さすがにかったるかった。という反省の元、この日は早めに切り上げようと思って行った。18時に出て19時着。お客さんがいなかったのでメンスリーですぐに始められた。最近はきっかり4半荘だけ打つことにしているが、これなら日が変わる前に帰れそうである。

さてこの日の麻雀。席決めの結果、鉄人J氏の下家に座ることになった。が、この人が上家にいるとツカないんだよね。どうもリズムが崩れる。実際J氏の早いリーチについつい攻めてしまい、何度も刺さった。後ろで見たことはないのだが、どうも手順が自分の発想とは違うようで読みもズレる。今一番の強敵である。

結局この日はいいところもなく0-1-1-2の-6400円(場代1600円)で終了。やっぱ麻雀は勝たないと面白くない。

ところでこの店のオリジナル役満「いちごっち」。その紹介のポスターについて。画像が載せてあるが、マンズだけでなくソーズ、ピンズの上下もそろっていた。ソーズは竹の向きに違いがあり比較的分かりやすいが、ピンズは円の中の模様が違うという分かりにくいところである。1pに至っては中心の五角形の模様というものすごい細かいところである。ちゃんとやったのか、偶然なのかはしらないけれど、白以外の牌の上下まできっちりしないと気がすまない自分にとってなんとも爽快である。
以前、ナポレオンに麻雀用語を導入する記事を書いたが、そのAnAn編。

「焼き鳥」=早押し系形式で1問も正解できないこと
「起家」=サバイバル1問目で1番最初に解答するプレーヤー(2)爆弾押し付けで最初に爆弾を設置しているプレーヤー
「親」=(1)サバイバル各問題でで最初に解答するプレーヤー(2)爆弾押し付けで爆弾を持っているプレーヤー
「下家、対面、上家」=サバイバル、爆弾押し付けにおける、自分の次、その次、さらにその次のプレーヤー
「筋」=多答系における似たような選択肢
平日だが甲府で仕事があり、そのまま直帰できたので麻雀打ちに行ってきた。前回行った際に凍牌を置いていったのだが、客、店員ともに話題に上っていた。やはり面白い漫画なようである。

さてこの日の麻雀。テンパイが一切入らない。56mと持っていても47mは入らず56mが重なるという展開が多かった。チートイに向かって成功することもあったが、ほとんどの局では先行リーチを打たれベタオリ。
順位も0-0-4-0で、収支は-7200(場代1600)とそこそこ負けた。

56s123567m55777pという手が来た。5sと5mは赤である。普通なら即リーでいいのだが、この店では赤3で上がるとゲーム2回券をもらえる。ということで赤を待つためにリーチは自重した。その後4mを引いて役ありテンパイになったり6pを引いて平和三色が加わったりとどんどん高くなって行くのだが、肝心の赤5pは引けず。結局安い手の横移動で終わった。回数券ごときに心を奪われたのは反省である。

さてこの日。同卓者は3人とも客だったが、もれなくみな強打だった。ということで俺も強打。みんな強打している卓ならいいけど、強打はクセになるから気をつけないとな。
例えば223344s57p66688mから6pをロンしたとする。子でドラがない場合、タンヤオイーペーコーの2600点である。この2600点の算出の過程は以下の通りである。

符は基本符30+面前加符10+8p暗刻4+間チャン待ち2の計36符。これを切り上げて40符となる。翻数はタンヤオ1+イーペーコー1+場ゾロ2の計4翻。子からは40×2の4乗の640点、親からはその倍である1280点の計2560点をもらえる。実際はロン和了なのでこれを一人からもらうことになるが、切り上げて2600点になる。

この過程の中で気になるのが切り上げのタイミングである。符計算の段階と、点数計算の段階の2回行っていることになる。なんだか無駄な気がする。

このように麻雀には「無駄に複雑」というものがたくさんある。理不尽な面もあるが、これはこれで趣があって俺は嫌いじゃない。
先週の金曜日、夕方に実家で用事があり、夜は自由だったので稲葉とコンタクトを取った。氏もヒマだということでとりあえず飲んだ。その後、例によって麻雀がやりたくなりイーストへ。1席しか空いてなかったので、稲葉を後ろに据えて打った。他家はこの店にしては若い客2人+メンバー(50歳くらい)。

この日はテンパイもそこそこ入るし、赤もそこそこ来た。リーチの打ち合いに巻けることもなかったのだが、裏が皆無。ということで和了数に比べて祝儀収入はイマイチだった。収支は2-0-1-1で+15100円(場代2400円)。もっと裏が乗ってたら収入も増えていたと思う。

33455567s発発発66p。トイツ手も見れるし、ソーズの一色手、果ては緑一色にもなりそうな手である。次順のツモは4s和了なのだが、5200で終わらせる手ではないと思ったので和了はしないことにした。切ったのは7s。6p切りという選択もあるが、四暗刻のイーシャンテンを優先することにした。しかし他家がどんどん鳴いて手が進むものの、俺の手は全然動かない。結局2sを引き入れた23344555発発発66pから2sをロン。3200点にしかならなかった。(それも2600と誤申告)。この3200が俺の限界なのだろう。

自分含め4人とも先ツモをしていたのでこの店にしてはイライラすることなく打てた。やっぱ麻雀はテンポが大事だね。


先日、稲葉と行った居酒屋に将棋が置いてあった。I氏からのたっての希望で対局することになった。展開は、俺=四軒飛車の美濃囲い、稲葉=居飛車の矢倉囲い、である。

序盤、俺が読み違えた部分があり、俺の角+金と稲葉の飛車を交換することになった。なのだが、稲葉が突如ポカをする。6七に馬を持ってきて俺の金を狙ったが、俺の方に6二飛車打ちという手があった(左図)。これで勝負あり。銀を持っているので3一銀から矢倉囲いはズタズタになる。

しかし稲葉との対局はここからが長い、、、。勝負はついてるのに無駄に長考する。このあと俺も桂馬に気づかず手数を増やしてしまった面があったが、終了まで30分かかった。

稲葉のほうが俺よりも将棋が好きなのだが、実力は10回やれば9回は俺が勝つくらいの開きがある。下手の横好きとはよく言ったものである。
7/6の話。前日のサッカーでは惨敗。さらに週末は休日出勤だし、月曜も仕事ですごいストレスをためた。こんな時は麻雀で勝つに決まっている。仕事を早く切り上げてなきむしいちごに赴いた。

案の定、麻雀は楽勝。4半荘打って裏2が3回、裏3が1回と手がつけられない状態だった。最後のほうは言葉にはしないものの他家3人は相当ウザがっていた。先に結果を書くが、3-0-1-0でプラス14300円。体力的にはきつかったが、こういう「勝てる日」は大事にしなければならない。

ドラが6mで1134556s12334p6mという手が来た。47s25pの2面子受けである。ただこのままだとドラの6mが余る。けどテンパイが入ったら即リーをするつもりでいた。しかし次順に6mが重なった。頭を変えることができた。1sを切ったわけだがソーズが134556sとはぐれ両面形。この形に気づいたのは切った後だったが、2sをツモってテンパイ。一発でツモってハネ満にしとめた。ドラ引きの時点でそもそもラッキーだが、はぐれ両面の形になっていたのもラッキー。

12378999m11899s12p。面前純チャンの1シャンテンである。他家からリーチが入り、ツモったのは1p。9mが現物だったので惰性で切った。点数的に勝負が必要ないなと思い結局ベタオリになった。が、このあとのツモは9s→1sだった。老頭牌だけ見ると「1m999m111999s11p」である。清老頭いけたんじゃね?先行リーチも変なシャボで1pはポン出来ていた感じである。9mを切ったのが失敗の始まり。このように役満手は突然出現するが、常に対応できるようになってないといかんな。(今回は清老頭程度で済んでるが、さらなるレア役満のいちごっちだたら本当に目も当てられない、、、。)

そういえば前回はキレ打ちをした。だから出禁になっているかもしれないと思っていたが、そんなことはなかった。テンゴで麻雀ができる最も近い店だから大切にしないと、、、。
厚生労働省によると、ニートの定義は「非労働力人口のうち、年齢15歳-34歳、通学・家事もしていない者」らしい。

そういえばニートの知り合いに34歳の人がいるけど、あと1年もしたらニートの定義から外れることになる。

脱ニート、おめでとうございます。
6月上旬の麻雀は仙台、京都と惨敗続きだったのでしばらくは麻雀はやめとこうと思っていた。しかしこの前の土曜日、稲葉と会って飲んでたら急に麻雀がしたくなった。ということで千歳船橋のイーストに行ってきた。

最初2半荘は稲葉と同卓、その後4半荘は別卓となった。この日はリーチを怖がるメンバーが多く、俺が先行リーチを打って他3人がオリるという展開が多かった。科学する麻雀によるとリーチに対しては3人ともベタオリした方が和了確率が下がるそうだが、スコスコツモれた。7pがドラ5pが赤の間6p待ちでリーチを打ち、あっさりツモれるなんてこともあった。となると負ける展開ではない。3-1-1-1で+22400(場代3600)。実際の収支が+18800円で、稲葉も+14000くらいだったそうである。2人で「3万勝つつもりだったのに1万ちょっと刺さったよ~!」「俺も16000くらい沈んだ」なんて話をした。

この日、東名で千歳船橋に行ったのだが、最寄の東京ICではなく厚木ICで降りた。厚木-東京間は地方部ではないので高速料金上限1000円に当てはまらないからである。これによって700円ほどの節約ができる。また直前の飲みも2人で5000円と安価で済んだ。このように「あらかじめ節約していると麻雀で勝つ」というのが最近の傾向である。
先日、I氏と旅打ちをしてきたときのこと。その店にコメントを書き込めるブログがあった。そのブログにI氏名義でお礼のコメントを書いてみた。

それに対しI氏は「キミがコメント書くから悪いこと書けなくなっちゃったじゃないか」と言ってきた。

これは「コメントによるブログ自由度殺し」という、ネットにおける大技である。


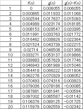
S氏にこんなことを聞かれた。「ハネツモが必要な条件で、役なしドラなしのチートイツを張った。このままリーチをするなら裏が必要である。しかしドラが来るまで待てば裏は不要である。どちらの方が確率が高いのだろうか?」。面白そうなので計算してみた。

考えるモデルは以下の通り。「即リーの場合、ツモる確率は1/34。そして裏が乗る確率は7/34。ドラを待つ場合、ドラを引く確率は1/34で、それをツモる確率も1/34。両者とも、一発や赤、その他偶然役は考慮しない」。ここで1/34=p、33/34=q、7/34=aとしておく。また、n順目までにハネツモが達成する確率を、即リーの方はg(n)、ドラ引き待ちの法はf(n)とする。

即リーについて。n順目にツモ和了る確率はq^(n-1)*pである。よってn順目までにツモ和了できる確率は1-q^nである。裏が乗る確率がaなのでg(n)=a(1-q^n)である。

ドラ引き待ちについて。n順目にツモ和了る確率は(n-1)*q^(n-2)*ppである。よってn順目までにツモ和了できる確率は1-q^(n-1)-(n-1)*pq^(n-1)であり、これがそのままf(n)である。

f(n),g(n),g(n)-f(n)を順目ごとに表に算出したものが冒頭の画像である。15順目まではg(n)-f(n)が正ということで、最大18順あるとして、「2順目まではドラ引き待ち、3順目以降は即リー」というのが答えである。まぁこういうケースでは即リーでかまわないといったところか。

即リーの利点はもう一つある。裏が乗らなかったとしても6400点の収入があるということである。他家の和了による失点が起きないことまで考えると、そういう意味でも即リーでよいのではないかと思う。
京都でも麻雀を打ってきた。行ったのはまさるの本店。甲府店は出禁食らってるし、御殿場店はフリーをやめてしまったということで、今「まさる」で打てるのは京都だけである。そういう意味でも楽しみにしていた。店に着いたのは朝4時。それまで前日8時から車を運転してたので疲労困憊。しかし時程的にこのタイミングしかあいてなかったので強行した。

店内では店員、客問わず僕が知っている人はいなかったし、僕を知っている人もいなかった。しかし店員や客との会話の中で、共通で知っている店員の名前があがった。しかしその人物は俺に出禁を言い渡した張本人、、、。でも、それがゆえに会話は盛り上がった。

さて、麻雀の内容。テンパイはそこそこ入り、ツモれてチップも稼げたのだが、いかんせんリーチ負けが多かった。自分が先制リーチを打つもののモタモタしているうちに追いかけられ俺が打ち込む局が多々あった。また逆に先制リーチを打たれ追いつくも宣言牌が当たり牌であることも多くあり、だいぶ負けた。戦跡は0-1-3-2でマイナス16000円(場代3000円)。面前祝儀だということを客がみな心得ていて、祝儀狙いの麻雀が出来ていたので、そこらのヌルい店よりやりにくかった。面白かったけどね。

さて、店員のうち一人が今月末から甲府に行くことになったらしい。なんでも甲府に行ったら俺に電話をくれるとのこと。でも俺、出禁だよ、、、。どうなることやら、、、。
山形にサッカー見に行った際、仙台に泊まった。夕方、時間を作って麻雀を打ちに行ってみた。店名は「バベル」。レートは点5である。

まずルール説明を受けたのだが、普通の関東ルールと大差はない。最後に「仙台ならでわのルールはありますか?」と聞いたら、「この店独自のルールがあります」という返答だった。「キター」と思って聞いたのだが、「裏ドラは公開する義務がありません」と言われた。なんだそれ、、、。普段行ってる店、全部そうだよ、、、。ということで普通にゲームスタート。

この日は調子の悪い日の典型である、両面が入らないという状況だった。45mと持っていて、ここから36mではなく45mが入る展開で手が進まず、相手からリーチが掛かりチートイツに移行して、でオリに回るという局が多かった。また先制リーチをかけても直後に追いかけられ、当たり牌をつかむという局も多かった。

668s5678p1236789mという手が来た(5pは赤)。手広さだけなら8s切りでよいが、それだと三色が消える。4m引きのタンヤオ移行なども考え、9mを切った。直後5mを引いたのだが、ここでハッとした。この手、一通もあるじゃん、、、。結局この5mはツモ切り。当然のように4mを引いた。相手からリーチが掛かったのでここでベタオリ。最初の段階でなぜ一通の発想が出てこなかったのだろうか、、、。なにやってんだか、、、。

自分が親で「西西西447m45p78899s」という手が入った。ドラは7s表示の8sである。辺7sが苦しいけどなかなか高い手である。が、この時点でリーチが入っていた。45pは現物だけど、47mは本線であった。とりあえず回し気味に45pを落とす。が9s→7sと引き入れて「西西西447m7788999s」となった。さらに4mを引き入れる。高めツモで四暗刻のテンパイである。しかし47mは本線であり、かつ4枚使いである。7mは通るとは思わなかったが、役満テンパイなら仕方ない。7m切ってリーチをした。これが通ったのでツモれそうな気がしたが、結局は流局。相手リーチは1mと発のシャンポンでこちらもツモり三暗刻だった。

リーチ負けも多くて、全然勝負にならなかった。6半荘目、5順目にリーチをしたものの、親にアンカン→リーチをされ、一発で振込み親倍という局があり突ラス。6回打って0-0-4-2とマイナス7100円(場代2100円)である。卓から離れる際「仙台の人たち、強すぎです!」なんて言ってみたところ、「いや~、また打ちましょう」なんて言われた。「関東モンは弱くてオイシイのう」と思われたようである。


追記
店を出る際「なんで仙台にいらっしゃったのですか?」と聞かれた。正直に「山形でサッカーを見るためです」と答えたところ「あぁそうですか。僕もサッカーよく見ます」と返ってきた。その後「でもベガルタはJ2なんですよね。来年J1に上がったらまた来てください!」と言われた。「ウチがJ2に落ちなかったら行くよ」と答えておいた。


稲葉の嫁さん、仲間内では「サンダー」という愛称で呼んでいる。

「稲葉の嫁」→「稲葉の妻」→「稲妻」→「サンダー」という流れから命名された。
1-0-0-2、+600、場代400

下家がずっと牌をカチャカチャしてて、全く集中できず。こんな状況でやる気なんて起きるわけない。ただキレ打ちしたのはよくなかった。そこだけは反省。ま、またしばらく冷却期間が必要そうである。


応援で旗振ってたら左手親指の付け根の内側がむけた。この調子でどんどんむけていってほしい。


忍者ブログ [PR]
カレンダー
12 2026/01 02
S M T W T F S
1 2 3
4 5 6 7 8 9 10
11 12 13 14 15 16 17
18 19 20 21 22 23 24
25 26 27 28 29 30 31
アクセス解析
ブログ内謙作